通知公告

通知公告

您的当前位置: 首页 > 通知公告 > 正文

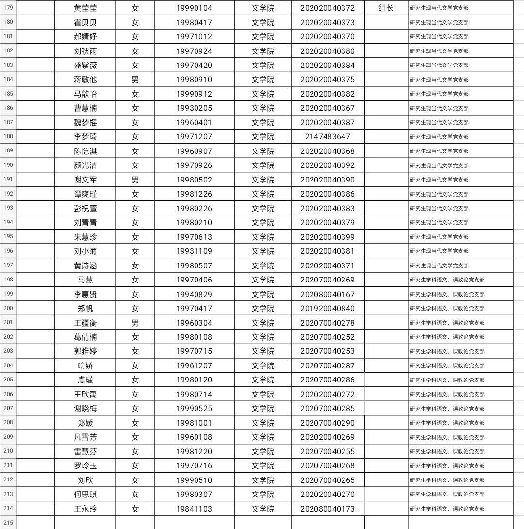
sunbet申搏第69期入党积极分子名单公示

来源:sunbet申搏日期:2020-10-05 21:22浏览数:


上一条:关于举行第五届湖南省老员工写作竞赛初赛暨2020年老员工写作竞赛的通知

下一条:公司党校第34期预备党员培训班学员名单公示

【关闭】